WolframAlpha is capable of solving a wide variety of systems of equations It can solve systems of linear equations or systems involving nonlinear equations, and it can search specifically for integer solutions or solutions over another domain Additionally, it can solve systems involving inequalities and more general constraints Efetuar o desenvolvimento de (x y) 5 Primeiro escrevemos a fórmula do binômio de Newton Agora, devemos calcular os números binomiais para encontrar o coeficiente de todos os termos Considerase que 0!6x 2 y 2x 4 3y → 623 = 36 e x 2x 4yy = x 6 y 2, ou seja, 36x 6 y 2;
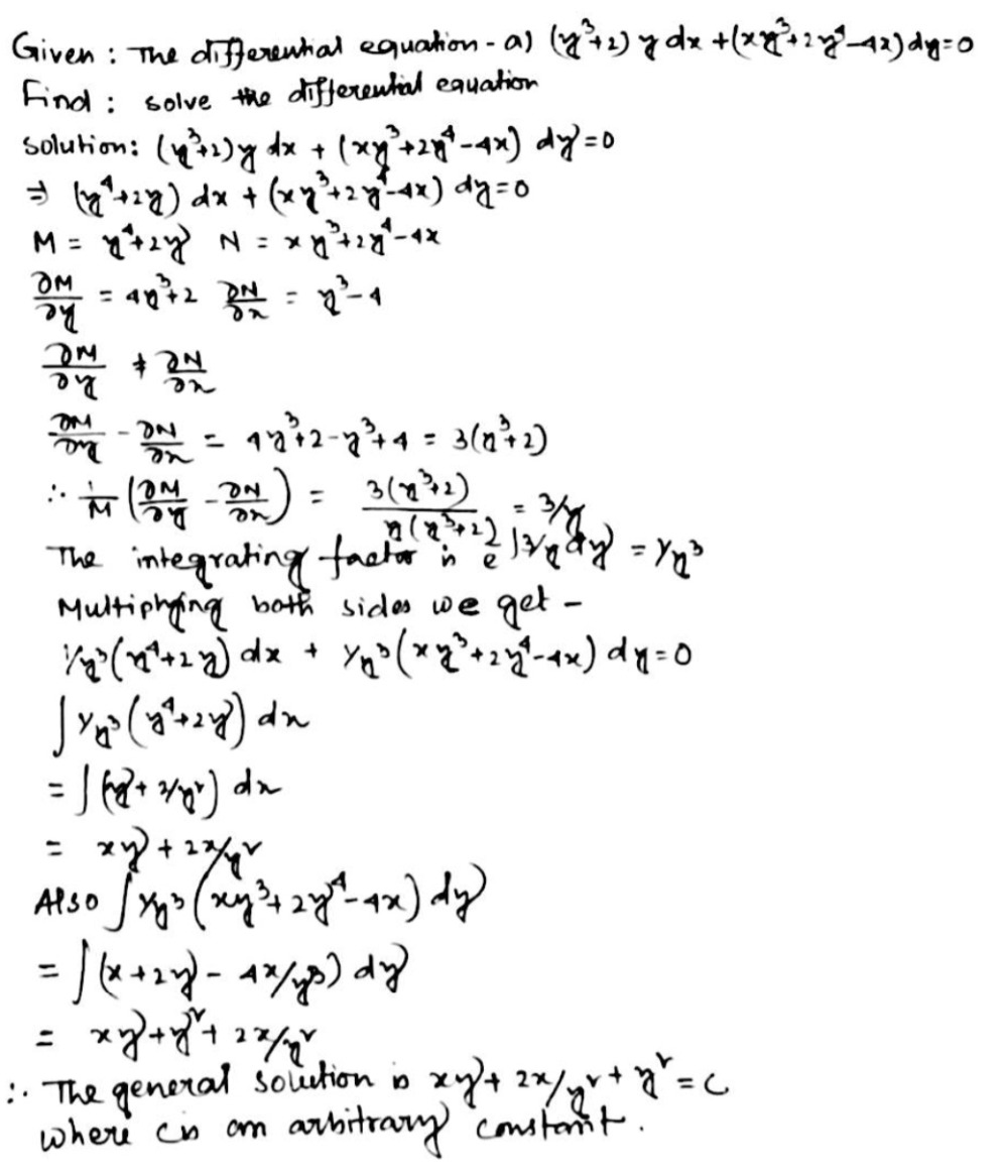
An Integrating Factor Of The Differential Equation Tex Y 4 2y Dx Xy 3 2y 4 4x Dy 0 Tex Is Snapsolve
X y 3 graphed
X y 3 graphed-Y3 brings sports style to the street Fueled by the innovations of adidas and expressed in the style of Yohji Yamamoto, Y3 creates progressive apparel, footwear, and accessories—a vision driven by both the sports icon and the renowned designer Founded in 02, Y3 established the category of fashion sportswear—one it continues to redefineCalcular as derivadas parciais da função f(x,y) = ln(3x 3 y) sen(x 3y 3) em relação a x e y Resolução Utilizamos o comando "D" para calcular a derivada parcial Podemos também derivar expressões que possuem variáveis independentes entre si



Learn Algebraic Identity Of X Y And X Y In 3 Minutes
3 P()X,Y ∈ A =∫∫f (x,y) dx dy para qualquer região A no plano xy Exercício 72 Uma fábrica de doces distribuiu caixas de chocolates com mistura de creme, toffees e amêndoas, envolta em chocolate branco e marrom Para uma caixa selecionada ao acaso,4abc 4 4ab 2 c → 44 = 16 e aabb 2c 4c = a 2 b 3 c 5, ou seja, 16a 2 b 3 c 5;Y = −3/4 x 25/4 Another Example Sometimes the implicit way works where the explicit way is hard or impossible Example 10x 4 − 18xy 2 10y 3 = 48 How do we solve for y?
To simplify your expression using the Simplify Calculator, type in your expression like 2 (5x4)3x The simplify calculator will then show you the steps to help you learn how to simplify your algebraic expression on your ownExamples 1 Suppose the joint pmf of X and Y isgiven byp(1,1) = 05, p(1,2) = 01, p(2,1) = 01, p(2,2) = 03 Find the pmf of X given Y = 1 SolutionYou can put this solution on YOUR website!
(xyz)^3 (x y z) (x y z) (x y z) We multiply using the FOIL Method x * x = x^2 x * y = xy x * z = xz y * x = xySearch the world's information, including webpages, images, videos and more Google has many special features to help you find exactly what you're looking forVar(X Y) = 02x1/312x1/322x1/3 – 12 = 2/3 (e) A variável XY só pode assumir os valores 0 e 1, com probabilidades 5/6 e 1/6, respectivamente




Pasutit Xy 3 Tws Bluetooth 5 0 Bezvadu Austinas Skalrunus Mini Earbuds Ar Mic Iphone Xs Samsung S10 Xiaomi Huawei Pr0 30 Lg Austinas Austinas Www Faceshield Lv




Ex 3 2 7 I Class 12 Matrices Find X And Y If X Y And X
Simple and best practice solution for xy3xy=3 equation Check how easy it is, and learn it for the future Our solution is simple, and easy to understand,P yare quadratic surds and if a p x= b p ythen a= band x= y 23 If a;m;nare positivereal numbersanda6=1,thenlog a mn=log a mlog a n 24 If a;m;nare positive real numbers, a6=1,thenlog a m n =log a m−log a n 25 If aand mare positive real numbers, a6=1thenlog a mnO gráfico de uma função polinomial do 1º grau, y = ax b, com a 0, é uma reta oblíqua aos eixos Ox e Oy Por exemplo, vamos construir o gráfico da função y = 3x 1 Como o gráfico é uma reta, basta obter dois de seus pontos e ligálos com o auxílio de uma régua a) Para x = 0, temos y = 3 0 1 = 1;




If X Y 3 And Xy 2 Then The Value Of X 3 Y 3 Is Equal To Brainly In




Solve The Following System Of Equations 27 X Y 15 X Y 2 And 30 X Y 1 X Y 3 Mathematics Topperlearning Com X68shsoo
See Logarithm rules Logarithm product rule The logarithm of the multiplication of x and y is the sum of logarithm of x and logarithm of y log b (x ∙ y) = log b (x) log b (y) For example log 10 (3 ∙ 7) = log 10 (3) log 10 (7) Logarithm quotient rule{(x,y) x y ≥ 1}, which is the region above the line y = 1 − x See figure above, right To compute the probability, we double integrate the joint density over this subset of the support set P(X Y ≥ 1) = Z 1 0 Z 2 1−x (x2 xy 3)dydx = 65 72 (c) We compute the marginal pdfs fX(x) = Z ∞ −∞ f(x,y)dy = ˆR 2 0 (x 2 xy 3)dy Nas frações, tanto o numerador quanto o denominador ficam elevados ao expoente, por exemplo (2/3) 3 = (2 3 / 3 3) = 8/27;




Tronxy Xy 3 Se The Most Powerful 3 In 1 3d Diy Printer Ever By Sleekdiy Kickstarter




Xy X 3 Xy 3 Xy 2 27 Eto V Sisteme Maksimalnoe Znachenie Proizvedeniya 2hu Reshenij Sistemy Shkolnye Znaniya Com
Log b (x / y) = log b (x) log b (y) For example log 10 (3 / 7) = log 10 (3) log 10 (7) Logarithm power rule The logarithm of x raised to the power of y is y times the logarithm of x log b (x y) = y ∙ log b (x) For example log 10 (2 8) = 8∙ log 10 (2) Derivative of natural logarithm The derivative of the natural logarithm functionThe elimination method for solving systems of linear equations uses the addition property of equality You can add the same value to each side of an equation So if you have a system x – 6 = −6 and x y = 8, you can add x y to the left side of the first equation and add 8 to the right side of the equation And since x y = 8, you are adding the same value to each side of the firstThe details note that the solution for these equations is an intermediate step to finding the value of mathx^3y^3/math Rather interestingly the intermediate value does not need to be found, b



Solve Y 2 Y4 X 4 Xy 3 I Am Stuck On The Chegg Com




Simultaneous Equations
Y = x^3 x, y = 3xSketch the region enclosed by the given curves Decidewhether to integrate with respect to x or y Draw a typical approximatingrectangle aSimple and best practice solution for y=x3 equation Check how easy it is, and learn it for the future Our solution is simple, and easy to understand,Section 35 Minterms, Maxterms, Canonical Form & Standard Form Page 2 of 5 A maxterm, denoted as Mi, where 0 ≤ i < 2n, is a sum (OR) of the n variables (literals) in which each variable is complemented if the




Tronxy Xy 3 Review Specifications Price Features Priceboon Com




Ex 3 2 7 I Class 12 Matrices Find X And Y If X Y And X
Tumblr is a place to express yourself, discover yourself, and bond over the stuff you love It's where your interests connect you with your peopleWe don't have to!3 2 0 4 x x 2 x 0 4 x y x 3 3 3 4 4 x 2 x A 4x x dx 4 A y dx A dydx x y 4x 0 x 2 R 2 2 0 x 4x 0 y 4x y x 3 3 2 Determinar a área da região limitada pelas curvas y = 2x e y =x no 1º Quadrante 0 2 y=x 0 2 y




If 2x Y 3 Xy 1 Find X Y X Y Maths Polynomials Meritnation Com




Solved A Picture Of The Function F X Y X 3y Xy 3 X 2 Chegg Com
Mesh(X,Y,Z) creates a mesh plot, which is a threedimensional surface that has solid edge colors and no face colorsThe function plots the values in matrix Z as heights above a grid in the xy plane defined by X and YThe edge colors vary according to the heights specified by Z8 E(X Y) = E(X) E(Y) (The expectation of a sum = the sum of the expectations This rule extends as you would expect it to when there are more than 2 random variables, eg E(X Y Z) = E(X) E(Y) E(Z)) 9 If X and Y are independent, E(XY) = E(X)E(Y) (This rule extends as you would expect it to for more than 2 randomX^3y^3=3xy WolframAlpha Volume of a cylinder?




Pasutit Xy 3 Tws Bluetooth 5 0 Bezvadu Austinas Skalrunus Mini Earbuds Ar Mic Iphone Xs Samsung S10 Xiaomi Huawei Pr0 30 Lg Austinas Austinas Www Faceshield Lv




File X Y 3 Svg Wikimedia Commons
X&Y is the third studio album by the British rock band ColdplayIt was released on 6 June 05 by Parlophone in the United Kingdom, and a day later by Capitol Records in the United States The album was produced by Coldplay and producer Danton SuppleIt is noted for its troubled and urgent development, with producer Ken Nelson having originally been tasked with producing much ofX^3y^3z^33xyz=(xyz)(x^2y^2z^2xyyzzx)a^3b^3c^33abc=(abc)(a^2b^2c^2abbcca)a^3b^3c^33abc formula proofx^3y^3z^33xyz formula proofaFor x = 3, y = 3 2 = 5 and we obtain the solutions (0,2), (3,1), (2,0), and (3,5) which can be displayed in a tabular form as shown below If we graph the points determined by these ordered pairs and pass a straight line through them, we obtain the graph of all solutions of y = x 2, as shown in Figure 73




4 X Y 1 X Y 3 2 X Y 3 X Y 5 Use Substitution Method Maths Linear Equations In Two Variables Meritnation Com



Learn Algebraic Identity Of X Y And X Y In 3 Minutes
First, differentiate with respect to x (use the Product Rule for the xy 2 term)X ≤ y significa que x é menor ou igual a y x ≥ y significa que x é maior ou igual a y (As formas "=" são geralmente utilizado em linguagens de programação, onde a facilidade de uso e de digitação de texto ASCII é preferido) 3 ≤ 4 {\displaystyle 3\leq 4} 5 ≤ 5 {\displaystyle 5\leq 5} 5 ≥ 4 {\displaystyle 5\geq 4}If you don't include an equals sign, it will assume you mean "=0" It has not been well tested, so have fun with it, but don't trust it If it gives you problems, let me know Note it may take a few seconds to finish, because it has to do lots of calculations




Reshite Sistemu X Xy 3 Xy 2 Xy 3 12 Shkolnye Znaniya Com




If X Y 3 X2 Y2 5 Then Xy Isa 1b 3c 2d 5correct Answer Is Option C Can You Explain This Answer Edurev Class 9 Question
Saiba mais sobre as propriedades da potenciação Multiplicação e Divisão de Potências Na multiplicação das potências de bases iguais, mantémse a base e somase os expoentes a x a y = a x y 5 25 3 = 5 23 = 5 5Cho da thuc P=(xyz)^3(x^3y^3z^3) CMRVoi moi x,y,z nguyen cung tinh chan le thi p chia het cho 24 Lớp 8 Toán Bài 4 Những hằng đẳng thức đáng nhớ (Tiếp 1) 1= 1 Assim, o desenvolvimento do binômio é dado por (x y) 5 = x 5 5x 4 y 10 x 3 y 2 10x 2 y 3 5xy 4 y 5 Termo Geral do




X Xy 3 Lim X Y 0 1 X Y 5xy Y3 Hu Lim X Chegg Com




X Y
> Is there a solution for mathxy=xy=3/math? (xy) 3 expanded has 4 terms, 1 more than the exponent, x 3 x 2 y xy 2 and y 3 x is decreasing from 3 to 0 from left to right, as y increases from 0 to 3 Any number or variable to the 0 power is 1 Then you need the coefficients for each of the 4Portanto, um ponto é (0




Solve For X And Y 40 X Y 2 X Y 5 And 25 X Y 3 X Y 1 Mathematics Topperlearning Com Idbi1itt




Izpardosana Xy 3 Lieluma Superhero Super Cilveks Karikatura Anime Atstarojoss Tips Smiekligi Auto Uzlimes Kravas Auto Motor Decal Uzlimes Arejie Aksesuari Lilla Lv
1/2wz 2/3z → 1/22/3 = 2/6 ou 1/3 e wzz = wz 2, ou seja, 1/3wz 2 Divisão de monômios Convém relembrarmos mais uma propriedade importante da potenciação a m a n = a m – nSteps for Solving Linear Equation y = 3x3 y = 3 x − 3 Swap sides so that all variable terms are on the left hand side Swap sides so that all variable terms are on the left hand side 3x3=y 3 x − 3 = y Add 3 to both sides Add 3 to both sidesΦ(x¡y)f(y)dy • jfjL1 Z K jΦ(x¡y)jdy If we additionally assume that f is bounded, then jfjL1 • C It is left as an exercise to verify that Z K jΦ(x¡y)jdy < 1 on any compact set K Theorem 2 Assume f 2 C2(Rn) and has compact support Let u(x) Z Rn Φ(x¡y)f(y)dy where Φ is the fundamental solution of Laplace's equation (33




How To Expand Using The Identity X Y 3 X3 Y3 3x2y 3xy2 Youtube



Solve The Following Systems Of Equations 6 X Y 7 X Y 3 1 2 X Y 1 A X Y Where X Y 0 And X Y 0 Sarthaks Econnect Largest Online Education Community
Piece of cake Unlock StepbyStep x^3y^3=3xy Natural Language Math Input NEW Use textbook mathAlgebra Calculator is a calculator that gives stepbystep help on algebra problems See More Examples » x3=5 1/3 1/4 y=x^21 Disclaimer This calculator is not perfect Please use at your own risk, and please alert us if something isn't working Thank youGraph xy=3 x − y = 3 x y = 3 Solve for y y Tap for more steps Subtract x x from both sides of the equation − y = 3 − x y = 3 x Multiply each term in − y = 3 − x y = 3 x by − 1 1 Tap for more steps Multiply each term in − y = 3 − x y = 3 x by − 1 1




Simplify X Y 3 X Y 3




Simplify X Y 3 X Y 3 6y X 2 Y 2
Until now, given a function f(x), you would plug a number or another variable in for xYou could even get fancy and plug in an entire expression for xFor example, given f(x) = 2x 3, you could find f(y 2 – 1) by plugging y 2 – 1 in for x to get f(y 2 – 1) = 2(y 2 – 1) 3 = 2y 2 – 2 3 = 2y 2 1 In function composition, you're plugging entire functions in for the xSurf(X,Y,Z) creates a threedimensional surface plot, which is a threedimensional surface that has solid edge colors and solid face colorsThe function plots the values in matrix Z as heights above a grid in the xy plane defined by X and YThe color of theSimplify (xy)^3 (x − y)3 ( x y) 3 Use the Binomial Theorem x3 3x2(−y) 3x(−y)2 (−y)3 x 3 3 x 2 ( y) 3 x ( y) 2 ( y) 3 Simplify each term Tap for more steps Rewrite using the commutative property of multiplication




What Are The Factors Of X Y 3 X3 Y3 Brainly In




X Y 3 X 3 Y 2 6 Youtube
P yare quadratic surds and if a p x= p y,thena= 0 and x= y 22 If p x;Free online 3D grapher from GeoGebra graph 3D functions, plot surfaces, construct solids and much more!Combine y and y to get 0 \left (y\right)x=0 The equation is in standard form x=0 Divide 0 by y y=\frac {xy} {1x}\frac {y\left (1x\right)} {1x} To add or subtract expressions, expand them to make their denominators the same Multiply y times \frac {1x} {1x} y=\frac {xyy\left (1x\right)} {1x}



Solved Solve The Following Differential Equations X Y 3 Dx X Y 1 Dy 0 2 X Y 1 Dx 3x 4y 2 Dy C 3 1 Y 2 Xy 2 Dx X 2y Y 2xy Dy Course Hero




Find X Y X Y If X 2 3 Y 3 2 Ii X 2 5 Y 1 2




If X Y X Y 3 1 Find The Values Of X And Y



1




How To Factorise Using The Identity X Y 3 X3 Y3 3x2y 3xy2 Youtube




Solve For X And Y 3 4 1 2 X Y 3 11




Solve 2xy X Y 3 2 Xy 2x Y 3 10 Mathematics Topperlearning Com X2oivz99



Expand X Y 3 Sarthaks Econnect Largest Online Education Community




完了しました X Y 3 3949 X Y 3 10 In The Table The Relation X Y Is Not A Function Of The Missing Value Of X Is




Prove That X Y 3 X Y 3 6y X2 Y2 8y3 Cbse Class 9 Maths Learn Cbse Forum




Solve For Y For Each 1 2x Y 9 2 X Y 2y 4 3x 4 2 Y X 5 7x Y 8 6 3y 1 3x 2x 2x Ppt Video Online Download




Solved Solve The De Y 3 6xy 4 Dx 3 Xy 2 12x 2y 3 Dy Chegg Com




Find Dy Dx Of Xy 3 Yx 3 X Mathematics Topperlearning Com D0amnv66




If 3 X Y 81 And 81 X Y 3 Find The Value Of X And Y Scholr




Ex 2 5 9 Verify I X 3 Y 3 X Y X 2 Xy Y 2 Teachoo




Se 301 Numerical Methods Topic 5 Interpolation Lectures




Omtex Classes X Y 3 And X Y 4 Complete The Following Table To Draw Graph Of The Equation




Solved If X2 Y2 18 And X Y 3 Find The Value Of 16x2y2 As Yo Self Study 365




Ppt Polynomials Powerpoint Presentation Free Download Id




If X Y 3 X Y 3 6y X 2 Y 2 K Y 3 Then K A 1 B 2 C 4 D 8




Prove That X Y 3 X Y 3 6y X 2 Y 2 8y 3 Mathematics Topperlearning Com Jd2kccrr



What Is The Partial Derivative Of X 3y Xy 3 With Respect To X Quora




Xy 3 Tws Bluetooth 5 0 Bezvadu Austinas Skalrunus Mini Earbuds Ar Mic Iphone Xs Samsung S10 Xiaomi Huawei Pr0 30 Lg Izpardosana Austinas Austinas Autotukums Lv




How To Graph X Y 3 Youtube




Simplify X Y 3 X Y 3 6y X 2 Y 2 Youtube




Find Two Positive Numbers X And Y Such That X Y 60 And Xy3 Is Maximum Mathematics Shaalaa Com



Learn Algebraic Identity Of X Y And X Y In 3 Minutes



1



An Integrating Factor Of The Differential Equation Tex Y 4 2y Dx Xy 3 2y 4 4x Dy 0 Tex Is Snapsolve



เร อง Xy 3 X Y 3 Mathcenter Forum




View Question If X Y 5 And X Y 3 Then Xy



The Value Of X Y 3 Y Z 3 Z X 3 X 2 Y 2 3 Y 2 Z 2 3 Z 2 X 2 3 Is Sarthaks Econnect Largest Online Education Community




Xy 3 Rock Geology Depth Mining Borehole Drilling Machine Price Buy Water Well Drilling Machine Depth Mining Drilling Machine Mobile Water Well Drilling Xy 3 Rotary Water Well Drilling Rig Product On Alibaba Com




Algebra Manipulation Given X Y Xy 3 Evaluate X 3 Y 3 Mathematics Stack Exchange




How Do You Graph The System Of Linear Inequalities X Y 3 And Y 15 Socratic



Solution X Y 13 X Y 3



Given A 2 2 4 4 2 4 2 1 5 And B 1 1 0 2 3 4 0 1 2 Then Find Ba And Use This To Solve The System Of Equations Y 2z 7 X Y 3 2x 3y 4z 17 Studyrankersonline




If X Y 3 And X Y 10 Then Find X 4 Y 4 Youtube




Reshit Sistemu Uravnenij X Y 3 X Y 5 Shkolnye Znaniya Com



Solution 1 Sketch The Graph Of X Y Absolute Value X Y 3 And X 2y Gt 4 2 Sketch The Graph Of Absolute Value Of X Absolute Value Of Y 1 3 A And B Working Together Can Do A




Tronxy Xy 3 Review Specifications Price Features Priceboon Com




2 X Y 3 X Y 1 8 X Y 7 X Y 5 6 Solve X And Y Youtube




Chapter 5 Indices And Logarithms What Is Indices




Resheno Upr 514 Gdz Kolyagin Tkachyova 8 Klass Po Algebre




Solved Simplify X Y 3 X Y 3 6y X 2 Y 2




Graphing X 3 2 Y 3 2 1 Mathematics Stack Exchange



If X Y 12 And Xy 27 Then Find The Value Of X3 Y3 Polynomials Maths Class 9




Solved The Equation Y 2y 4 X 4 Xy 3 Is Not Separable Chegg Com




If X Y 3 X Y 2 Then What Is The Value Of X 3 Y 3 A 6 B 7 C 8 D 9 E None Of These




If Xy 180 And Hcf X Y 3 Then Find The Lcm X Y Teachoo Video




Solve X Y 3 And X 3 Y 2 6 By Substituting Methos Scholr




9 5 The Binomial Theorem




Solve Graphically X Y 7 X Y 3 Mathematics Shaalaa Com




Discuss The Maxima And Minima Of The Function U X 3y 2 1 X Y Answer Mathematics 1 Question Answer Collection




Solved Give The General Solution To X 2y 4 3 Xy 3 Chegg Com




Elimination Method Day 1 Ppt Download




Upr 6 5 Gdz Mordkovich 9 Klass Po Algebre




Eiropa Tronxy Xy 3 Pro 3d Printeris Augstas Precizitates Ultra Kluss Valdes Viegli Uzstadit Desktop Limena Lielformata Drukas 300 300 400mm Pirkt 3d Druka Un 3d Skenesana Itan Lv



If X Y 3 Then X 3 Y 3 Socratic




Tronxy Xy 3 Pro V2 Direct Driver 3d Printer 300 300 400mm Tronxy 3d Printers Official Store



1




Ex 3 A Q11 X Y 3 0 2x 3y 4 0 Solve Each Of The Following Given Systems Of



Solve The Following Systems Of Equations 2 X 3 Y 9 Xy 4 X 9 Y 21 Xy Where X 0 Y 0 Sarthaks Econnect Largest Online Education Community




Example 12 Solve X Y 5 X Y 3 Graphically Examples




bestpictjg2x 最高のコレクション Simplify X Y 3 X Y 3 6y X Y X Y



Learn Algebraic Identity Of X Y And X Y In 3 Minutes



If X Y 3 Xy 28 Then What Will Be The Value Of X 2 Y 2 Quora



If Math X Y Z 0 Math Then Math X Y Z 3 Y Z X 3 Z X Y 3 Math Quora




Pirkt Xy 3 Lieluma Superhero Super Cilveks Karikatura Anime Atstarojoss Tips Smiekligi Auto Uzlimes Kravas Auto Motor Decal Uzlimes Smiekligi Automasinas Arejie Aksesuari Empire Club Lv



Solution How Do You Solve This Equation By Graphing X Y 3 X Y 5




Eiropa Tronxy Xy 3 Pro 3d Printeri Lielu Drukas Izmers Stikla Printeri Klusums Mainboard Titan Preset Aluminija Profilu Impressora 3d Nopirkt Interneta Datoru Un Biroja Www Makslasplatforma Lv



Solution X Y 7 X Y 3




If X Y 5 And X Y 3 Then Find The Value Of X Y Brainly In



1



X 1 Xy 3 Factorize It Using Identities Brainly In




How To Evaluate Using The Identity X Y 3 X3 Y3 3x2y 3xy2 Youtube
0 件のコメント:
コメントを投稿